ГДЗ по алгебре 7 класс Алимов номер - 277

Авторы: Ш.А. Алимов, Ю.М. Колягин, Ю.В. Сидоров.
Издательство: Просвещение 2015
Тип: Учебник
Подробный решебник (ГДЗ) по Алгебре за 7 (седьмой) класс - готовый ответ номер - 277. Авторы учебника: Алимов, Колягин, Сидоров. Издательство: Просвещение 2015.
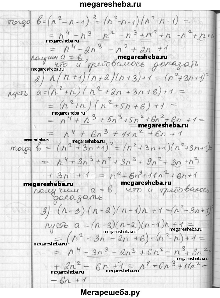
277 Доказать равенство: 1) (n - 2)(n - 1)n(n + 1) + 1 = (n2 - n-1)2; 2) n(n + 1l)(n+2)(n+3)+1 = (n2 + 3n + 1)2 3) (n - 3)(n - 2)(n - 1)n + 1 = (n2 - Зn + 1)2; 4) (n2 – 2n + 1)(n2 + 2/7 + 1) = (n2 -1)2.






