ГДЗ по алгебре 7 класс Алимов номер - 262

Авторы: Ш.А. Алимов, Ю.М. Колягин, Ю.В. Сидоров.
Издательство: Просвещение 2015
Тип: Учебник
Подробный решебник (ГДЗ) по Алгебре за 7 (седьмой) класс - готовый ответ номер - 262. Авторы учебника: Алимов, Колягин, Сидоров. Издательство: Просвещение 2015.
Условие /
номер / 262
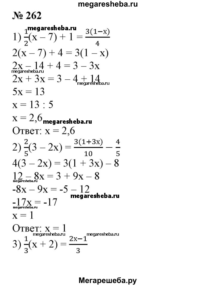
262 При каком значении х равны значения выражений: 1) 1/2 (x-7) + 1 и 3(1+ Зх) / 4 2) 2/5(3- 2x) и 3(1+3x)10 -4/5?
Решебник №1 / номер / 262

Видеорешение / номер / 262
Решебник №2 / номер / 262


Решебник №3 / номер / 262

