ГДЗ по алгебре 10‐11 класс Алимов Базовый и углубленный уровень упражнение - 766
 
        
    
    Авторы: Ш.А. Алимов, Ю.М. Колягин, М.В. Ткачева.
Издательство: Просвещение 2015-2024
Тип: Учебник, Базовый и углубленный уровень
Подробный решебник (ГДЗ) по Алгебре за 10‐11 (десятый‐одиннадцатый) класс - готовый ответ упражнение - 766. Авторы учебника: Алимов, Колягин, Ткачева, Базовый и углубленный уровень. Издательство: Просвещение 2015-2024.
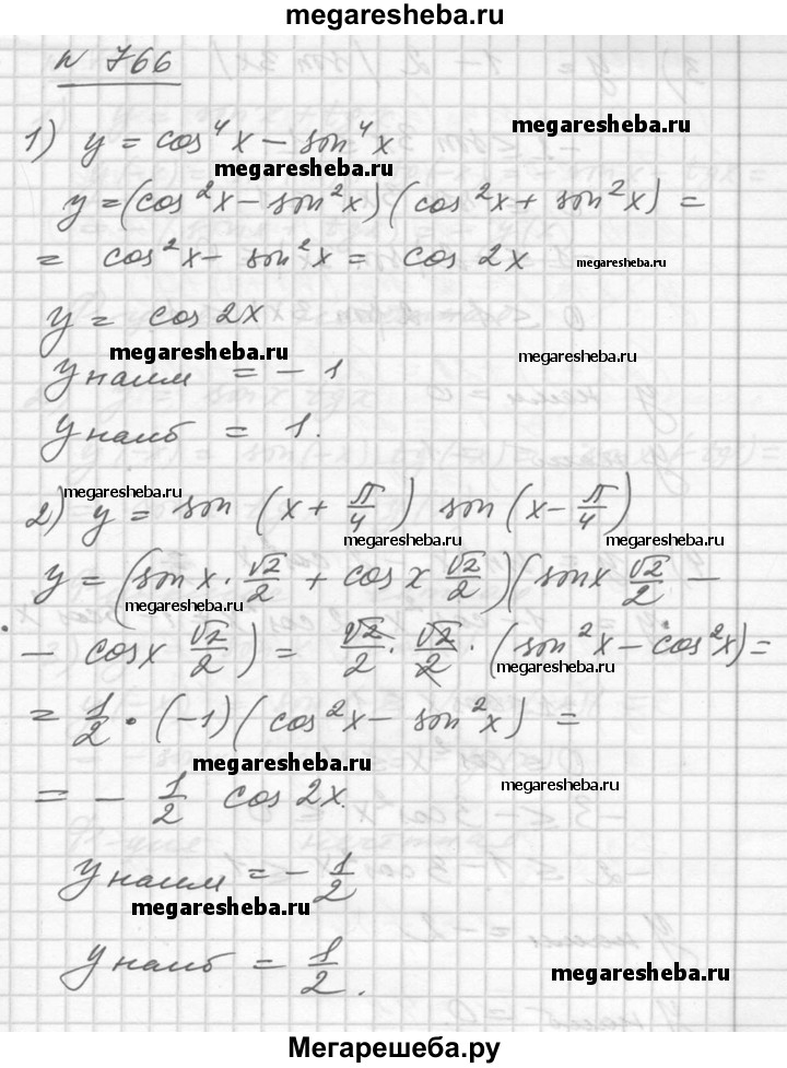
766. Найти наибольшее и наименьшее значения функции: 1) у = cos^4 х – sin^4 х; 2) у = sin ( х + π/4) sin ( х – π/4); 3) у = 1 - 2 |sin Зх|; 4) у = sin^2 х - 2 cos^2 х.
 
                                                             
                                                             
                                                            