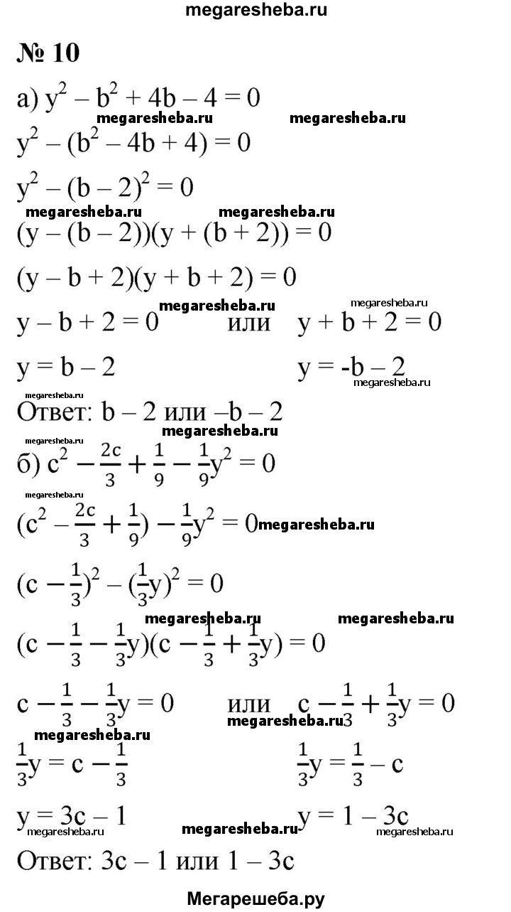
ГДЗ по алгебре 8 класс Крайнева рабочая тетрадь Базовый уровень §18 - 10
 
        
    
    Авторы: Крайнева Л.Б., Миндюк Н.Г., Шлыкова И.С..
Издательство: Просвещение 2024
Тип: Рабочая тетрадь, Базовый уровень
Подробный решебник (ГДЗ) по Алгебре за 8 (восьмой) класс рабочая тетрадь - готовый ответ §18 - 10. Авторы учебника: Крайнева, Миндюк, Шлыкова, Базовый уровень. Издательство: Просвещение 2024.
 
                         
                                                            