ГДЗ по алгебре 8 класс Шуркова контрольные работы КР-5. вариант - 1
 
        
    
    Автор: Шуркова М.В..
Издательство: Бином 2020
Тип: Контрольные работы
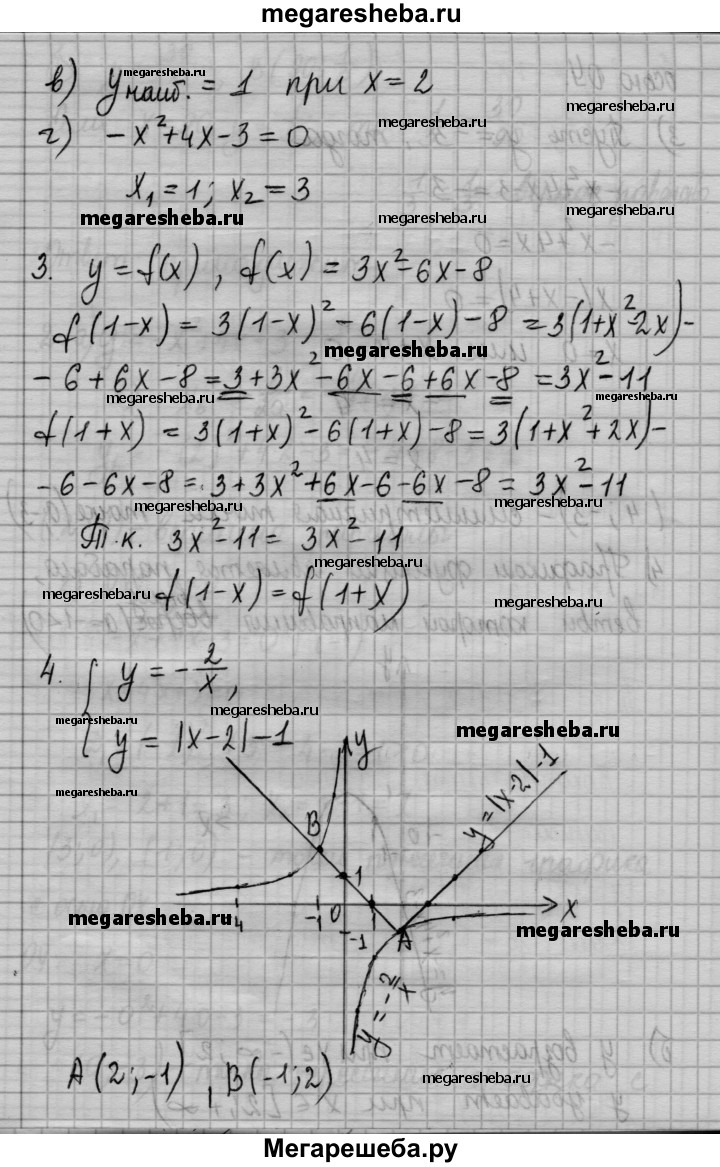
Подробный решебник (ГДЗ) по Алгебре за 8 (восьмой) класс контрольные работы - готовый ответ КР-5. вариант - 1. Авторы учебника: Шуркова. Издательство: Бином 2020.
 
                         
                                                             
                                                             
                                                             
                                                             
                                                             
                                                             
                                                             
                                                            