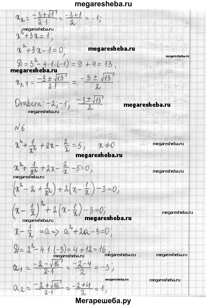
ГДЗ по алгебре 8 класс Попов дидактические материалы самостоятельные работы СР-26. вариант - 2
 
        
    
    Автор: Попов М.А..
Издательство: Экзамен 2014
Тип: Дидактические материалы
Подробный решебник (ГДЗ) по Алгебре за 8 (восьмой) класс дидактические материалы - готовый ответ самостоятельные работы СР-26. вариант - 2. Авторы учебника: Попов. Издательство: Экзамен 2014.
 
                         
                                                             
                                                             
                                                             
                                                             
                                                             
                                                             
                                                             
                                                            