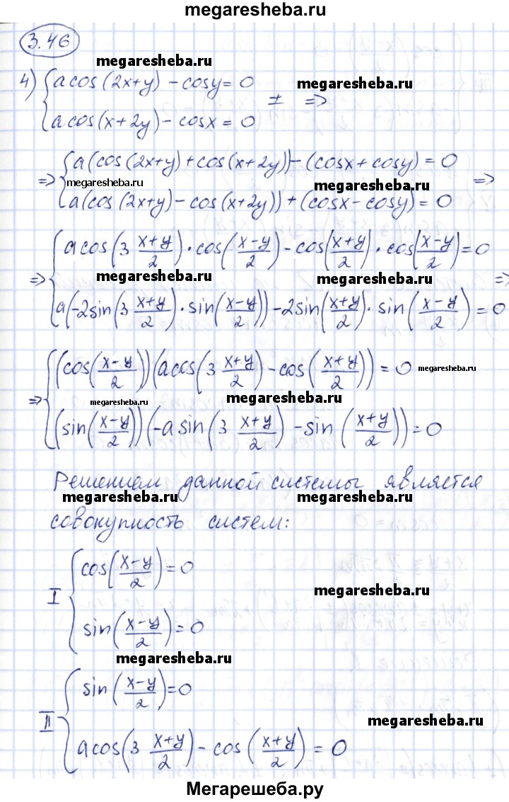
ГДЗ по алгебре 10 класс Шыныбеков раздел 3 - 3.46

Авторы: Шыныбеков А.Н., Шыныбеков Д.А., Жумабаев Р.Н..
Издательство: Атамұра 2019
Тип: Учебник
Подробный решебник (ГДЗ) по Алгебре за 10 (десятый) класс - готовый ответ раздел 3 - 3.46. Авторы учебника: Шыныбеков, Шыныбеков, Жумабаев. Издательство: Атамұра 2019.