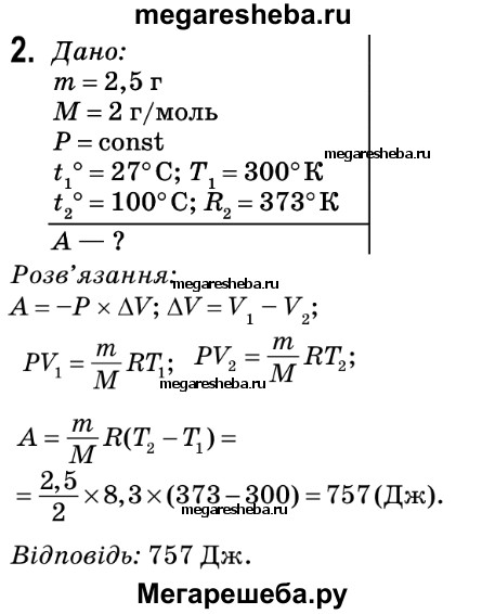
ГДЗ по физике 10 класс Коршак Упражнение 33 - 2

ГДЗ по физике 10 класс Коршак   Упражнение 33 - 2

Авторы: , , .

Издательство: Украина 2015

Тип: Учебник

Подробный решебник (ГДЗ) по Физике за 10 (десятый) класс - готовый ответ Упражнение 33 - 2. Авторы учебника: Коршак, Ляшенко, Савченко. Издательство: Украина 2015.

решебник 1 / Упражнение 33 / 2
решебник 5 / Упражнение 33 / 2
решебник 6 / Упражнение 33 / 2

Другие номера из решебника

Оцените решебник:

4.4/5
Количество оценивших 61