ГДЗ по алгебре 10 класс Нелин Профильный уровень Параграф 25 - 3

ГДЗ по алгебре 10 класс  Нелин  Профильный уровень Параграф 25 - 3

Авторы: , .

Издательство: Гимназия

Тип: Учебник, Профильный уровень

Подробный решебник (ГДЗ) по Алгебре за 10 (десятый) класс - готовый ответ Параграф 25 - 3. Авторы учебника: Нелин, Неліна, Профильный уровень. Издательство: Гимназия .

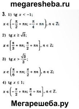
решебник / Параграф 25 / 3
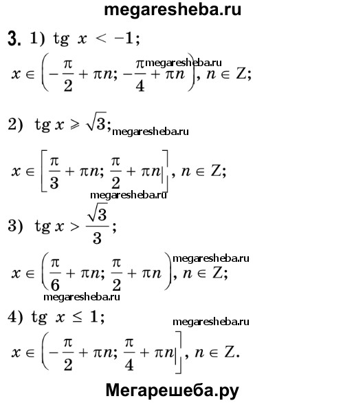
решебник 2 / Параграф 25 / 3

Другие номера из решебника

Оцените решебник:

4.4/5
Количество оценивших 5