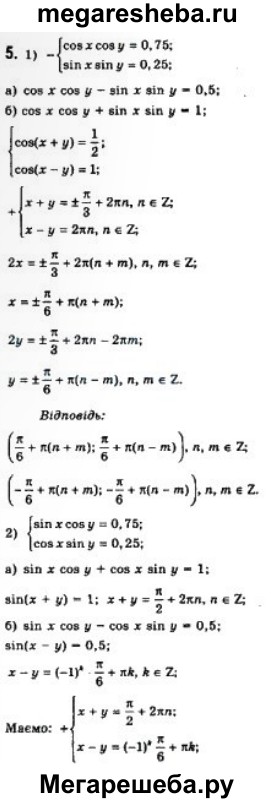
ГДЗ по алгебре 10 класс Нелин Профильный уровень Параграф 23 - 5

ГДЗ по алгебре 10 класс  Нелин  Профильный уровень Параграф 23 - 5

Авторы: , .

Издательство: Гимназия

Тип: Учебник, Профильный уровень

Подробный решебник (ГДЗ) по Алгебре за 10 (десятый) класс - готовый ответ Параграф 23 - 5. Авторы учебника: Нелин, Неліна, Профильный уровень. Издательство: Гимназия .

решебник / Параграф 23 / 5
решебник 2 / Параграф 23 / 5

Другие номера из решебника

Оцените решебник:

4.4/5
Количество оценивших 5