ГДЗ по алгебре 10 класс Нелин Профильный уровень Параграф 15 - 2

ГДЗ по алгебре 10 класс  Нелин  Профильный уровень Параграф 15 - 2

Авторы: , .

Издательство: Гимназия

Тип: Учебник, Профильный уровень

Подробный решебник (ГДЗ) по Алгебре за 10 (десятый) класс - готовый ответ Параграф 15 - 2. Авторы учебника: Нелин, Неліна, Профильный уровень. Издательство: Гимназия .

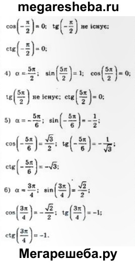
решебник / Параграф 15 / 2
решебник 2 / Параграф 15 / 2

Другие номера из решебника

Оцените решебник:

4.4/5
Количество оценивших 5