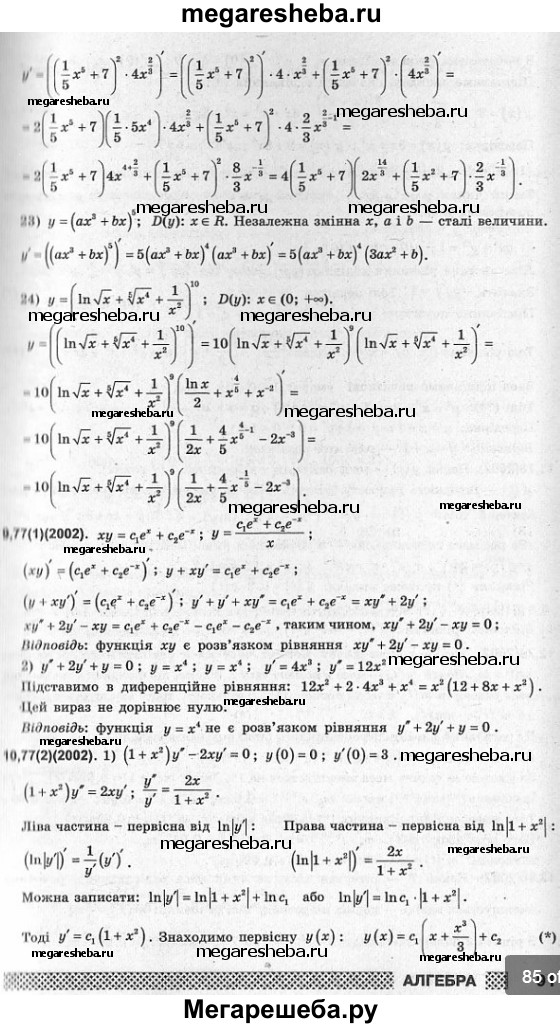
ГДЗ по алгебре 11 класс Шкіль Страницы решебника - 91

Авторы: М.І. Шкіль, З.І. Слєпкань, О.С. Дубинчук.
Издательство: Украина
Тип: Учебник
Подробный решебник (ГДЗ) по Алгебре за 11 (одиннадцатый) класс - готовый ответ Страницы решебника - 91. Авторы учебника: Шкіль, Слєпкань, Дубинчук. Издательство: Украина .