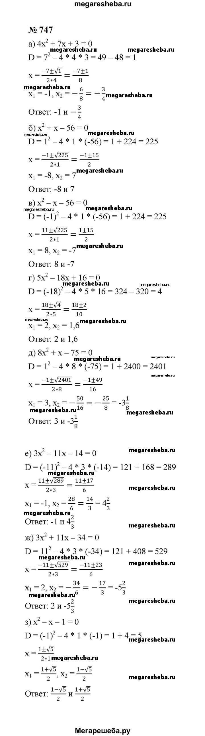
ГДЗ по алгебре 8 класс Макарычев номер - 747

Авторы: Ю.Н. Макарычев, Н.Г. Миндюк, К.И. Нешков, С.Б. Суворова.
Издательство: Просвещение 2015-2025
Тип: Учебник
Подробный решебник (ГДЗ) по Алгебре за 8 (восьмой) класс - готовый ответ номер - 747. Авторы учебника: Макарычев, Миндюк, Нешков, Суворова. Издательство: Просвещение 2015-2025.
Решебник к учебнику 2023 / номер / 747

Видеорешение к учебнику 2023 / номер / 747
Решебник №1 к учебнику 2015 / номер / 747

Решебник к учебнику 2022 / номер / 747

Видеорешение к учебнику 2015 / номер / 747
Решебник №2 к учебнику 2015 / номер / 747
