ГДЗ по алгебре 8 класс Алимов номер - 585

Авторы: Ш.А. Алимов, Ю.М. Колягин, Ю.В. Сидоров.
Издательство: Просвещение 2015
Тип: Учебник
Подробный решебник (ГДЗ) по Алгебре за 8 (восьмой) класс - готовый ответ номер - 585. Авторы учебника: Алимов, Колягин, Сидоров. Издательство: Просвещение 2015.
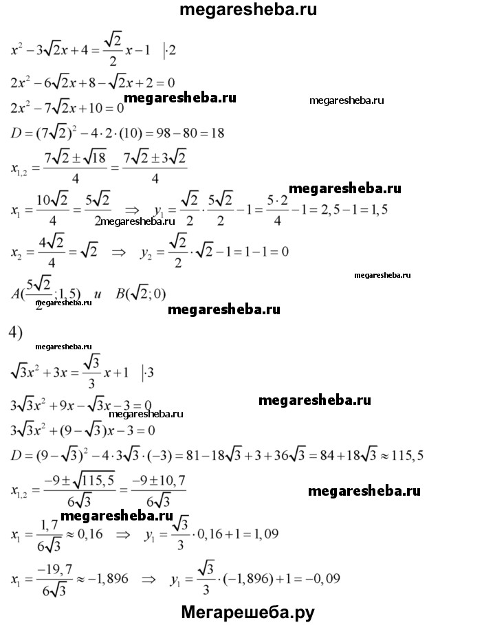
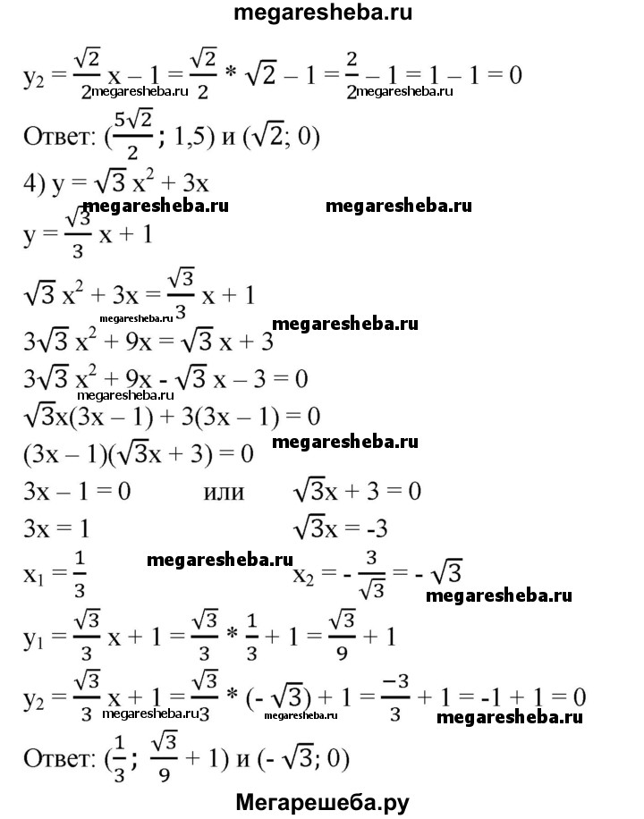
585. Найти координаты точек пересечения графиков функций: 1) у = 4х^2 + 4x + 1 и у = 2х + 1; 2) у = х^2 - 8х + 15 и у = 2/3 х - 2; 3) у = х^2- 3√2х + 4 и у = √2/2 х- 1; 4) у = √3х^2 + 3х и у = √3/3 х +1.



