ГДЗ по алгебре 8 класс Алимов номер - 565

Авторы: Ш.А. Алимов, Ю.М. Колягин, Ю.В. Сидоров.
Издательство: Просвещение 2015
Тип: Учебник
Подробный решебник (ГДЗ) по Алгебре за 8 (восьмой) класс - готовый ответ номер - 565. Авторы учебника: Алимов, Колягин, Сидоров. Издательство: Просвещение 2015.
Условие /
номер / 565
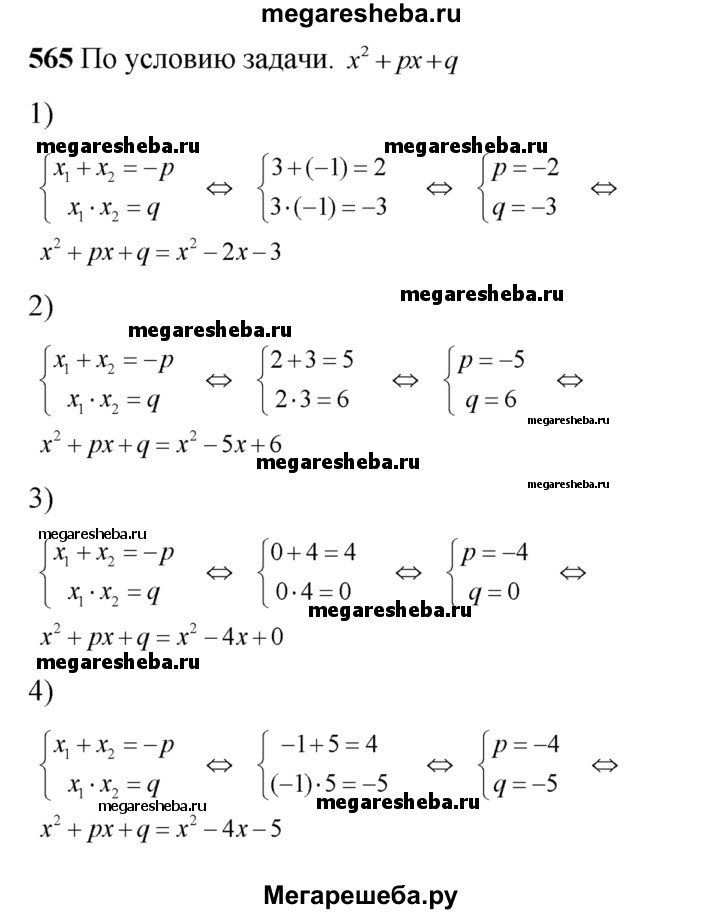
565. Записать приведенное квадратное уравнение, имеющее корни х1 и х2: 1) x1= 3, х2 = 1; 2) x1 = 2, х2 = 3; 3) x1 = 0, х2 = 4; 4) х1 = -1, х2 = 5.
Решебник №1 / номер / 565

Видеорешение / номер / 565
Решебник №2 / номер / 565
