ГДЗ по алгебре 8 класс Алимов номер - 414

Авторы: Ш.А. Алимов, Ю.М. Колягин, Ю.В. Сидоров.
Издательство: Просвещение 2015
Тип: Учебник
Подробный решебник (ГДЗ) по Алгебре за 8 (восьмой) класс - готовый ответ номер - 414. Авторы учебника: Алимов, Колягин, Сидоров. Издательство: Просвещение 2015.
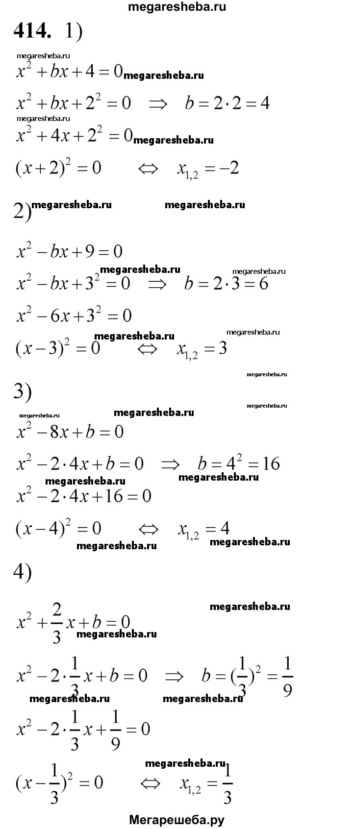
414. Найти такое положительное число Ь, чтобы левая часть уравнения оказалась квадратом суммы или разности, и решить полученное уравнение: 1) x^2+bx + 4 = 0; 2) х^2-bх + 9=0; 3) x^2 -8х + b = 0; 4) х^2 + 2/3х + b = 0.

