ГДЗ по алгебре 8 класс Алимов номер - 242

Авторы: Ш.А. Алимов, Ю.М. Колягин, Ю.В. Сидоров.
Издательство: Просвещение 2015
Тип: Учебник
Подробный решебник (ГДЗ) по Алгебре за 8 (восьмой) класс - готовый ответ номер - 242. Авторы учебника: Алимов, Колягин, Сидоров. Издательство: Просвещение 2015.
Условие /
номер / 242
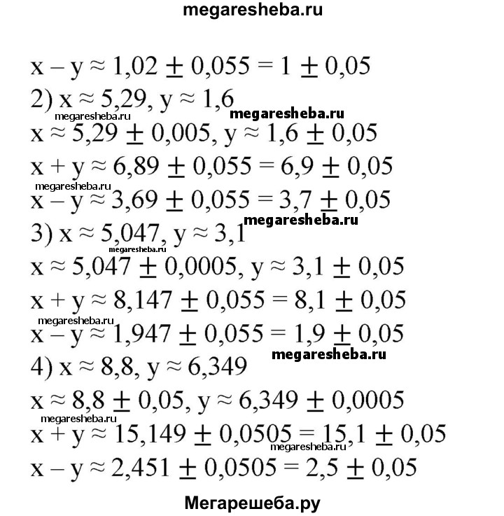
242. С помощью правила 1 найти приближенные значения х + у и х - у, если: 1) х ≈ 3,3, у ≈ 2,28; 2) x ≈ 5,29, у ≈ 1,6; 3) х ≈ 5,047, у ≈ 3,1; 4) х ≈ 8,8, у ≈ 6,349.
Решебник №1 / номер / 242

Видеорешение / номер / 242
Решебник №2 / номер / 242

