ГДЗ по физике 7‐9 класс Лукашик сборник задач номер - 320

Авторы: Лукашик В.И., Иванова Е.В..
Издательство: Просвещение 2016
Тип: Сборник задач
Подробный решебник (ГДЗ) по Физике за 7‐9 (седьмой‐девятый) класс сборник задач - готовый ответ номер - 320. Авторы учебника: Лукашик, Иванова. Издательство: Просвещение 2016.
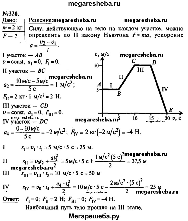
320. Скорость тела массой 2 кг изменяется со временем так, как представлено на графике рисунка 59. Найдите силу, действующую на каждом этапе этого движения. Определите по графику, на каком этапе движения тело прошло наибольший путь.


