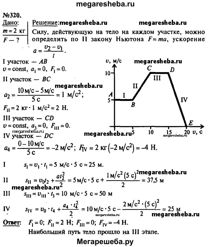
ГДЗ по физике 7‐9 класс Лукашик сборник задач §12 - 12.7 [320]

ГДЗ по физике 7‐9 класс Лукашик сборник задач  §12 - 12.7 [320]

Авторы: , .

Издательство: Просвещение 2016-2023

Тип: Сборник задач

Подробный решебник (ГДЗ) по Физике за 7‐9 (седьмой‐девятый) класс сборник задач - готовый ответ §12 - 12.7 [320]. Авторы учебника: Лукашик, Иванова. Издательство: Просвещение 2016-2023.

Решебник 2015 №1 / §12 / 12.7 [320]
Видеорешение / §12 / 12.7 [320]
Решебник 2015 №2 / §12 / 12.7 [320]

Оцените решебник:

4.4/5
Количество оценивших 2795