ГДЗ по алгебре 8 класс Мордкович Учебник, Задачник Базовый уровень §1 - 1.29

ГДЗ по алгебре 8 класс Мордкович Учебник, Задачник Базовый уровень §1 - 1.29

Авторы: , , , .

Издательство: Мнемозина 2015-2019

Тип: Задачник, Базовый уровень

Подробный решебник (ГДЗ) по Алгебре за 8 (восьмой) класс Учебник, Задачник - готовый ответ §1 - 1.29. Авторы учебника: Мордкович, Александрова, Тульчинская, Мишустина, Базовый уровень. Издательство: Мнемозина 2015-2019.

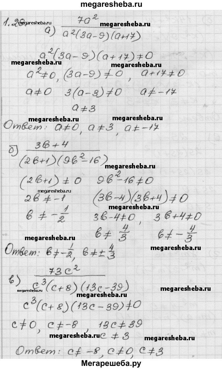
Решебник №1 к задачнику 2015 / §1 / 1.29
Видеорешение / §1 / 1.29
Решебник к задачнику 2017 / §1 / 1.29
Решебник №2 к задачнику 2015 / §1 / 1.29

Другие номера из решебника

Оцените решебник:

4.4/5
Количество оценивших 1337