ГДЗ по математике 6 класс Мерзляк Базовый уровень §41 упражнение - (1151)

Авторы: А.Г. Мерзляк, В.Б. Полонский, М.С. Якир.
Издательства: Вентана-граф, Просвещение 2016-2023
Тип: Учебник, Алгоритм успеха, Базовый уровень
Подробный решебник (ГДЗ) по Математике за 6 (шестой) класс - готовый ответ §41 упражнение - (1151). Авторы учебника: Мерзляк, Полонский, Якир, Базовый уровень. Издательство: Вентана-граф 2016-2023.
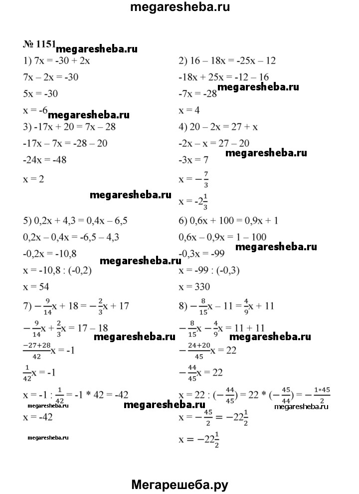
Решебник №1 к учебнику 2019 / §41 / упражнение / (1151)

Решебник №2 к учебнику 2019 / §41 / упражнение / (1151)

Решебник №1 к учебнику 2016 / §41 / упражнение / (1151)

Видеорешение / §41 / упражнение / (1151)
Решебник №2 к учебнику 2016 / §41 / упражнение / (1151)
