Гдз по математике за 5 класс Мерзляк, Полонский, Якир ответ на номер № 925

Гдз по математике за 5 класс Мерзляк, Полонский, Якир ответ на номер № 925

Авторы: , , .

Издательства: Вентана-граф, Просвещение 2016-2023

Тип: Учебник, Алгоритм успеха, Базовый уровень

Подробный решебник (ГДЗ) по Математике за 5 (пятый) класс - готовый ответ номер - 925. Авторы учебника: Мерзляк, Полонский, Якир, Базовый уровень. Издательство: Вентана-граф 2016-2023.

Условие / номер / 925

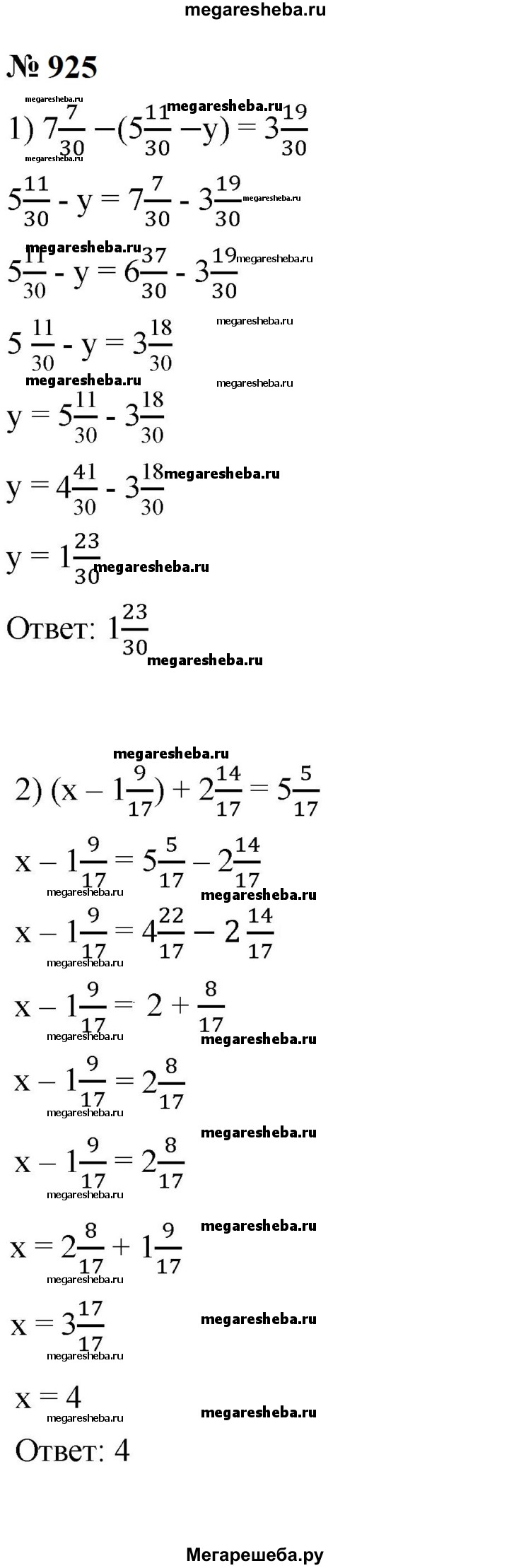
925. В походе группа туристов 8,5 ч шла пешком со скоростью 4,2 км/ч и 9,2 ч плыла по реке на плоту со скоростью 3,5 км/ч. Какое из расстояний, преодолённых туристами, — по суше или по реке — больше и на сколько километров?

Решебник к учебнику 2023 / номер / 925
Решебник №1 к учебнику 2016 / номер / 925
Видеорешение / номер / 925
Решебник к учебнику 2021 / номер / 925
Решебник №2 к учебнику 2016 / номер / 925
Решебник №3 к учебнику 2016 / номер / 925

Другие номера из решебника

Оцените решебник:

4.4/5
Количество оценивших 20909