Гдз по математике за 5 класс Мерзляк, Полонский, Якир ответ на номер № 781

Авторы: А.Г. Мерзляк, В.Б. Полонский, М.С. Якир.
Издательства: Вентана-граф, Просвещение 2016-2023
Тип: Учебник, Алгоритм успеха, Базовый уровень
Подробный решебник (ГДЗ) по Математике за 5 (пятый) класс - готовый ответ номер - 781. Авторы учебника: Мерзляк, Полонский, Якир, Базовый уровень. Издательство: Вентана-граф 2016-2023.
Похожие ГДЗ
Условие /
номер / 781
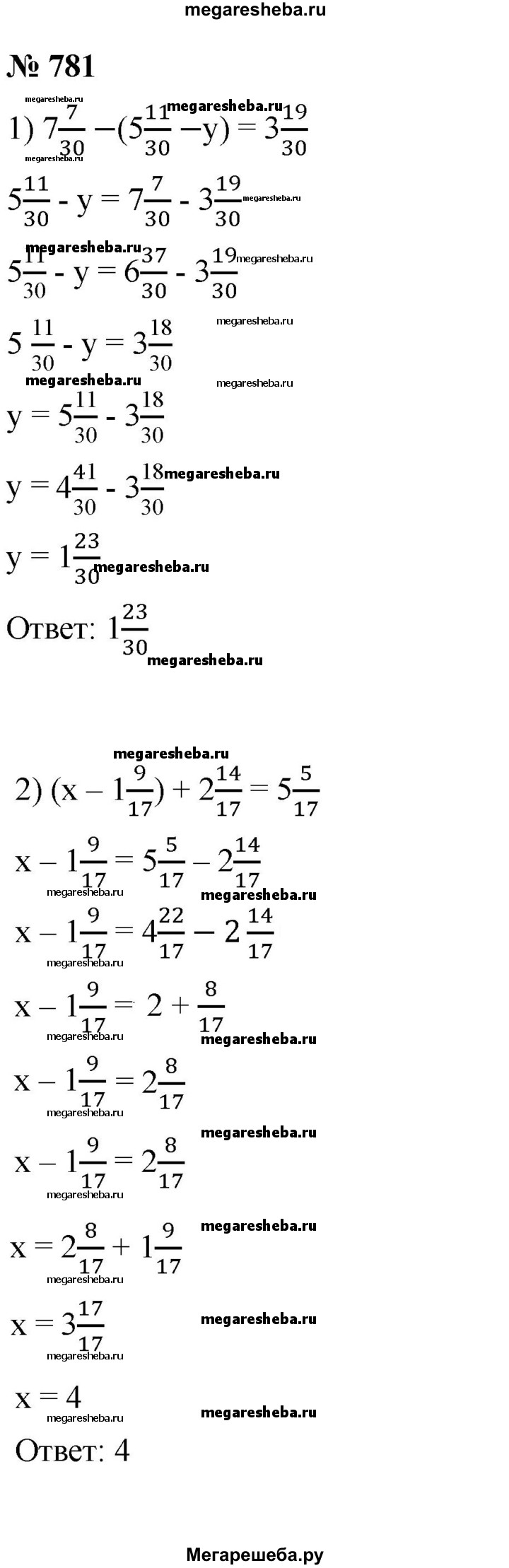
781. Решите уравнение: 1) 7 7/30 – (5 11/30 - y)= 3 19/30; 2) (x - 1 9/17) + 2 14/17= 5 5/17.
Решебник к учебнику 2023 / номер / 781

Решебник №1 к учебнику 2016 / номер / 781

Видеорешение / номер / 781
Решебник к учебнику 2021 / номер / 781

Решебник №2 к учебнику 2016 / номер / 781

Решебник №3 к учебнику 2016 / номер / 781

