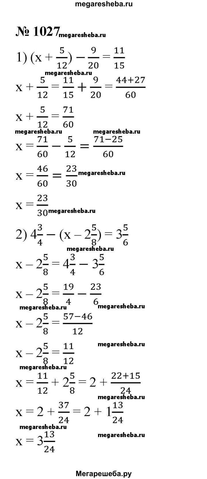
Гдз по математике за 5 класс Мерзляк, Полонский, Якир ответ на номер № 1027

Авторы: А.Г. Мерзляк, В.Б. Полонский, М.С. Якир.
Издательства: Вентана-граф, Просвещение 2016-2023
Тип: Учебник, Алгоритм успеха, Базовый уровень
Подробный решебник (ГДЗ) по Математике за 5 (пятый) класс - готовый ответ номер - 1027. Авторы учебника: Мерзляк, Полонский, Якир, Базовый уровень. Издательство: Вентана-граф 2016-2023.
Похожие ГДЗ
1027. Если в некоторой десятичной дроби перенести запятую вправо через одну цифру, то она увеличится на 62,01. Найдите эту дробь.




