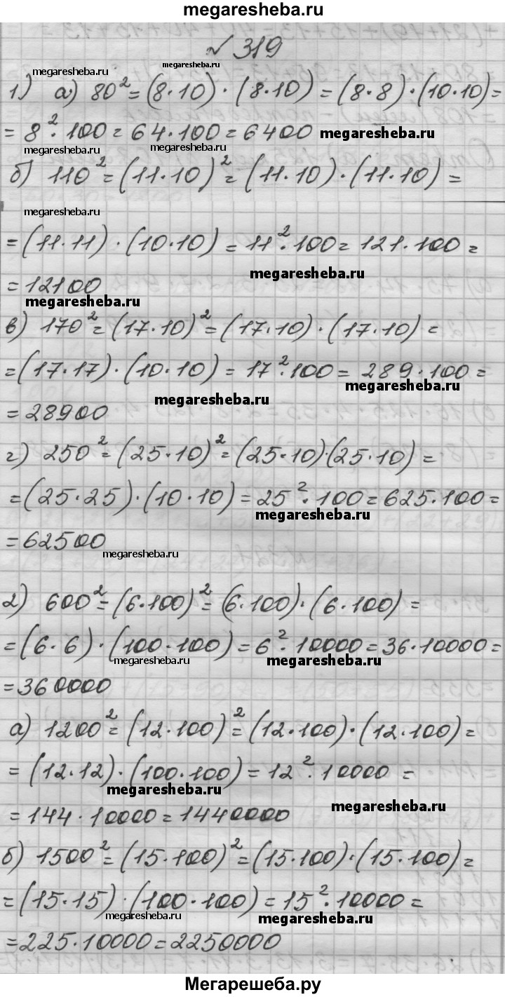
ГДЗ по математике 5 класс Дорофеев Базовый уровень глава 4 упражнение - 4.8 (319)

Авторы: Дорофеев Г. В., Шарыгин И. Ф., Суворова С. Б..
Издательство: Просвещение 2015-2023
Тип: Учебник, Базовый уровень
Подробный решебник (ГДЗ) по Математике за 5 (пятый) класс - готовый ответ глава 4 упражнение - 4.8 (319). Авторы учебника: Дорофеев, Шарыгин, Суворова, Базовый уровень. Издательство: Просвещение 2015-2023.
Решебник к учебнику 2023 / глава 4 / упражнение / 4.8 (319)

Решебник №1 к учебнику 2019 / глава 4 / упражнение / 4.8 (319)

Видеорешение / глава 4 / упражнение / 4.8 (319)
Решебник №2 к учебнику 2019 / глава 4 / упражнение / 4.8 (319)

Решебник к учебнику 2015 / глава 4 / упражнение / 4.8 (319)

Другие номера из решебника