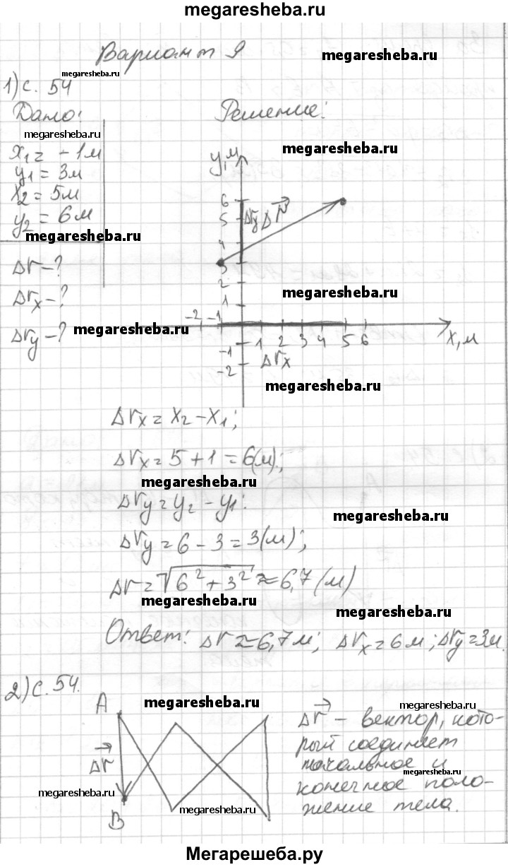
ГДЗ по физике 9 класс Марон дидактические материалы Базовый уровень самостоятельные работы СР-1 - Вариант 9

ГДЗ по физике 9 класс Марон дидактические материалы Базовый уровень самостоятельные работы СР-1 - Вариант 9

Авторы: , .

Издательства: Дрофа, Просвещение 2016-2024

Тип: Дидактические материалы, Базовый уровень

Подробный решебник (ГДЗ) по Физике за 9 (девятый) класс дидактические материалы - готовый ответ самостоятельные работы СР-1 - Вариант 9. Авторы учебника: Марон, Марон, Базовый уровень. Издательство: Дрофа 2016-2024.

Решебник 2024 / самостоятельные работы / СР-1 / вариант 9
Решебник 2022 / самостоятельные работы / СР-1 / вариант 9
Решебник №1 2017 / самостоятельные работы / СР-1 / вариант 9
Решебник №2 2017 / самостоятельные работы / СР-1 / вариант 9

Оцените решебник:

4.4/5
Количество оценивших 116