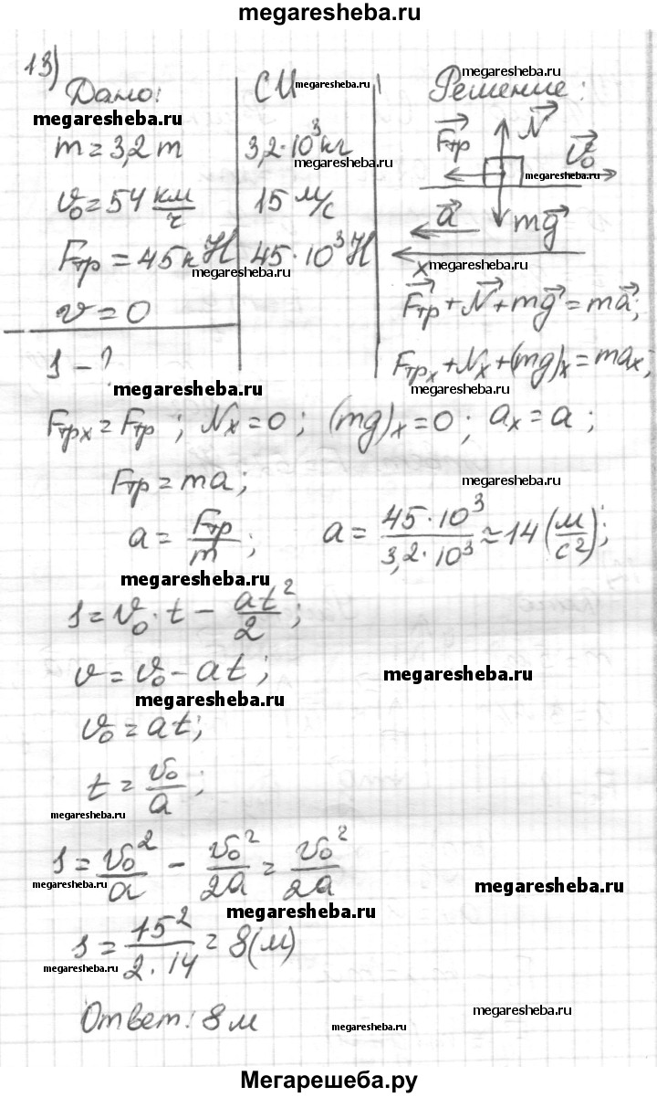
ГДЗ по физике 9 класс Марон дидактические материалы Базовый уровень тренировочные задания ТЗ-5 - 13

ГДЗ по физике 9 класс Марон дидактические материалы Базовый уровень тренировочные задания ТЗ-5 - 13

Авторы: , .

Издательства: Дрофа, Просвещение 2016-2024

Тип: Дидактические материалы, Базовый уровень

Подробный решебник (ГДЗ) по Физике за 9 (девятый) класс дидактические материалы - готовый ответ тренировочные задания ТЗ-5 - 13. Авторы учебника: Марон, Марон, Базовый уровень. Издательство: Дрофа 2016-2024.

Решебник 2024 / тренировочные задания / ТЗ-5 / 13
Решебник 2022 / тренировочные задания / ТЗ-5 / 13
Решебник №1 2017 / тренировочные задания / ТЗ-5 / 13
Решебник №2 2017 / тренировочные задания / ТЗ-5 / 13

Другие номера из решебника

Оцените решебник:

4.4/5
Количество оценивших 116