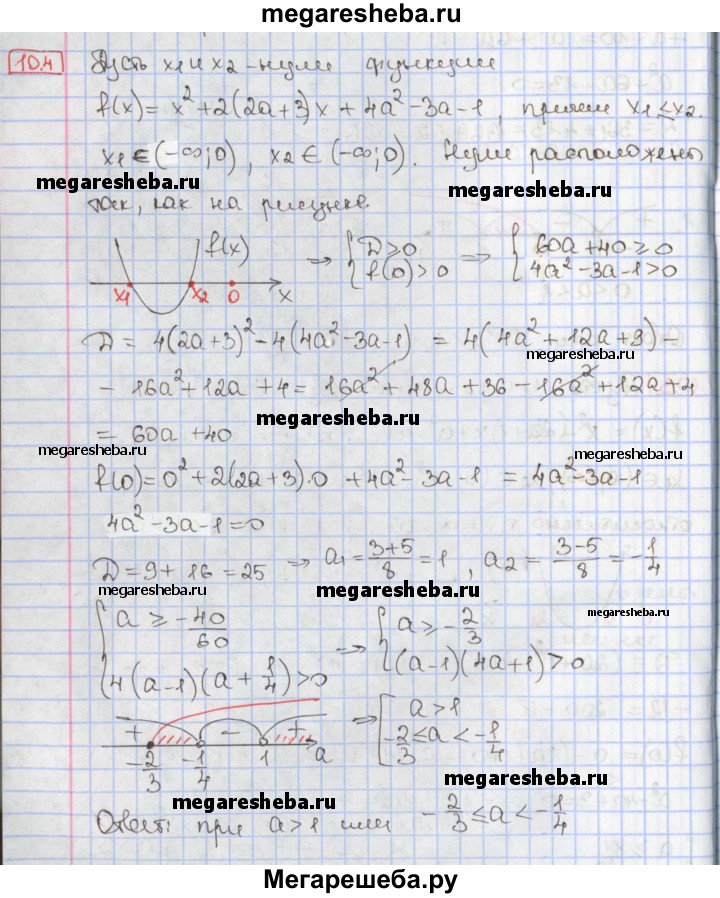
ГДЗ по алгебре 9 класс Мерзляк Углубленный уровень § 10 - 10.4
 
        
    
    Авторы: Мерзляк А.Г., Поляков В.М..
Издательство: Вентана-граф 2017-2020
Тип: Учебник, Алгоритм успеха, Углубленный уровень
Подробный решебник (ГДЗ) по Алгебре за 9 (девятый) класс - готовый ответ § 10 - 10.4. Авторы учебника: Мерзляк, Поляков, Углубленный уровень. Издательство: Вентана-граф 2017-2020.
 
                         
                         
                         
                         
                         
                         
                         
                                                             
                                                             
                                                            